Авторитетный медицинский журнал The Lancet опубликовал статью об испытаниях российской вакцины от коронавируса
Один из самых авторитетных в мире медицинских журналов The Lancet опубликовал материал о результатах первых двух фаз клинических исследований первой зарегистрированной в мире вакцины от коронавируса - российской "Спутник V". Препарат разработали в Научно-исследовательском центре имени Гамалеи.
Публикация о вакцине появилась на сайте The Lancet 4 сентября.
Научная статья по результатам фазы I-II клинических исследований вакцины - лишь начало цикла публикаций о "Спутнике V". В дальнейшем российские ученые представят в журнале информацию обо всех этапах создания вакцины: от исследования препарата на животных до клинических испытаний на добровольцах. Первые результаты пострегистрационных исследований с участием 40 тысяч добровольцев предполагается опубликовать уже в сентябре.
В нынешней статье представлены ключевые качественные и количественные характеристики вакцины и ее преимущества по сравнению с другими вакцинами против Covid-19, которые только проходят клинические исследования в разных странах.

Профиль испытания вакцины. Иллюстрация из The Lancet

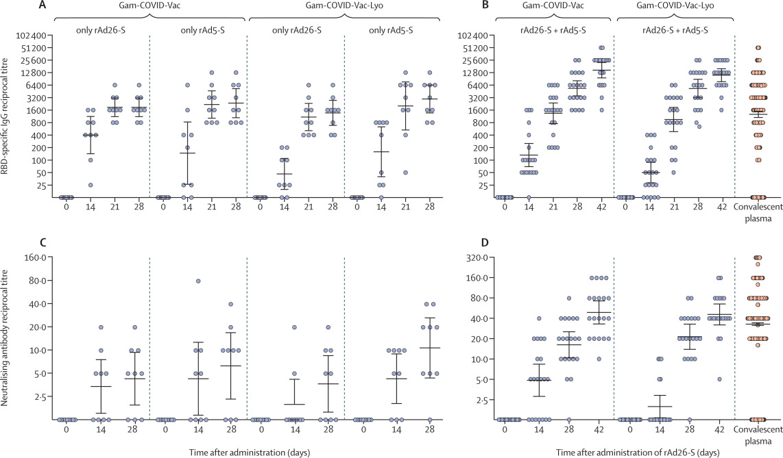
Гуморальный иммунный ответ. Иллюстрация из The Lancet

Клеточно-опосредованный иммунный ответ на гликопротеин SARS-CoV-2. Иллюстрация из The Lancet
.jpg)
Нейтрализующий ответ антител на векторы rAd26 и rAd5 после иммунизации. Иллюстрация из The Lancet
При создании вакцины российские ученые выбрали путь использования проверенной ранее и доказавшей безопасность технологической платформы с использованием человеческих аденовирусов. Другие исследователи предложили иные варианты - в частности, использование аденовирусов приматов. Но эти платформы не прошли долговременной проверки на безопасность в отношении возможного влияния на фертильность и возникновение канцерогенного эффекта.
Ранее "Страна" сообщала, что у 100% участников клинических исследований вакцина "Спутник V" сформировала устойчивый и гуморальный, и клеточный иммунный ответ.
Мы также писали. что вакциной привились министр обороны РФ Сергей Шойгу и мэр Москвы Сергей Собянин.




